Call
SMS
Map
Hotline:
0903.55.46.99 (Ts. Nguyễn Văn Bắc)
Email: vtnn.binhphuoc@gmail.com
Toggle navigation
MENU
Bỏ qua điều hướng
Trang chủ
Giới thiệu
Sản phẩm
Phân bón gốc
Phân bón hữu cơ
Phân bón hóa học
Phân tưới gốc
Phân bón lá
Men vi sinh
Thuốc bệnh
Thuốc trừ sâu
Kỹ thuật
Cây công nghiệp
Cao su
Hồ tiêu
Cà phê
Điều
Cây ăn trái
Chôm chôm
Sầu riêng
Cây có múi
Thanh long
Cây lương thực
Lúa
Ngô
Cây thực phẩm
Đậu đỗ
Rau củ quả
Tài liệu khác
Tin tức
Thời sự nông nghiệp
Tin tức VIDEO
Hoạt động
VIDEO HOẠT ĐỘNG
HÌNH ẢNH HOẠT ĐỘNG
Hỏi đáp
Liên hệ
Kỹ thuật
Kỹ thuật
Tin kỹ thuật
PHỤC HỒI SẦU RIÊNG GIAI ĐOẠN SAU THU HOẠCH
Hiện tại thì hầu hết các vườn sầu riêng ở Bình Phước đã bước vào giai đoạn cuối vụ thu hoạch 2024. Cây sầu riêng vừa mới nuôi trái xong, ...
ỨNG DỤNG HIỆU QUẢ NẤM XANH, NẤM TRẮNG, NẤM TÍM TRONG SẢN XUẤT NÔNG NGHIỆP HIỆN NAY
Ứng dụng các chủng nấm ký sinh côn trùng (nấm xanh, nấm trắng, nấm tím) trong sản xuất nông nghiệp là biện pháp không chỉ mang lại hiệu quả về ...
KHẮC PHỤC RỤNG TRÁI NON TRÊN CÂY SẦU RIÊNG
Bình Phước hiện có hơn 3.500ha sầu riêng đang cho thu hoạch với sản lượng trong năm 2023 đạt gần 23.700 tấn. Thời điểm hiện tại, các vườn sầu riêng ...
NHỮNG ĐIỀU CẦN BIẾT VỀ CỎ DẠI TRONG CANH TÁC NÔNG NGHIỆP HIỆN NAY
CHĂM SÓC ĐIỀU GIAI ĐOẠN NUÔI TRÁI, CHẮC HẠT
Tình hình nắng nóng liên tục và kéo dài tại Bình Phước đang tạo điều kiện thuận lợi cho các loại sâu hại nguy hiểm như bọ trĩ, nhện đỏ,… ...
NGUYÊN NHÂN VÀ BIỆN PHÁP KHẮC PHỤC BỆNH CỨNG TRÁI GÂY HẠI TRÊN CÂY CHANH DÂY
GIẢI PHÁP CHỐNG RỤNG BÔNG, TĂNG ĐẬU TRÁI CHO CÂY SẦU RIÊNG
Tính đến đầu năm 2024 tỉnh Bình Phước có hơn 7.500 ha sầu riêng, với 38 mã số vùng trồng. Dự kiến đến hết quý I năm 2024 toàn tỉnh ...
ỨNG DỤNG HIỆU QUẢ ACID HUMIC TRONG SẢN XUẤT NÔNG NGHIỆP HIỆN NAY
CHĂM SÓC CÂY SẦU RIÊNG GIAI ĐOẠN RA HOA ĐẾN XỔ NHỤY
Hiện tại cây sầu riêng khu vực Bình Phước đang bắt đầu bước vào giai đoạn ra hoa chính vụ. Thời gian này thường xuất hiện các cơn mưa trái ...
GIẢI PHÁP BÓN PHÂN HIỆU QUẢ CHO CÂY TRỒNG
TOẠ ĐÀM: KỸ THUẬT XỬ LÝ SẦU RIÊNG RA HOA ĐỒNG LOẠT
Bình Phước hiện có trên 2.500ha cây sầu riêng kinh doanh với năng suất bình quân là 10 tấn/ha và đang bước vào giai đoạn phân hoá mầm hoa cho ...
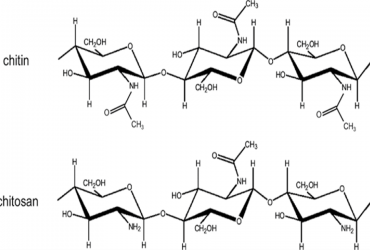
ỨNG DỤNG HOẠT CHẤT CHITOSAN TRONG SẢN XUẤT NÔNG NGHỆP BỀN VỮNG
Trang 8 của 12
« Đầu tiên
Lùi
5
6
7
8
9
10
11
Tiếp
Cuối cùng »